Cosmological
Open Effective Field Theories

This research program aims at exploring the signatures of extra degrees of freedom during inflation.

One of the most striking predictions of the standard model of cosmology is to trace back the origin of cosmic inhomogeneities to quantum fluctuations of the primordial vacuum. This feature makes cosmology an interesting playground to test quantum mechanics in its most extreme regimes. Yet, such an ambitious program requires an accurate description of the quantum history of the universe. At the moment, an exact description seems out-of-reach as the early universe physics remains elusive on the precise number of degrees of freedom acting during inflation and their fundamental properties (mass, spin). My work aims at providing a quantum description able to incorporate our uncertainties on the exact modelling of the early universe.

Nearly scale-invariant, Gaussian and adiabatic scalar perturbations from quantum mechanical origin have been extensively tested using Cosmic Microwave Background (CMB) and Large Scale Structures (LSS) data. Effective field theories (EFT) aim at providing a systematic way to consider extensions to this adiabatic evolution, incorporating the knowledge of unknown physics in a parametrically controlled manner. In order to grasp the implications of some hidden sector at the quantum level, the formalism needs to incorporate non-unitary effects such as dissipation and decoherence. To achieve this goal, Open Quantum Systems (OQS) Theory may be a valuable tool. Ubiquitous in quantum optics where it describes the effects of an almost unspecified environment on the evolution of measurable degrees of freedom, its implementation often relies on assumptions that do not straightforwardly extend to cosmology where the background is curved and dynamical, the Hamiltonian time-dependent and the environment out-of-equilibrium. Most of my PhD have been devoted to understand how can we construct Cosmological Open Quantum Systems.

Quantum recoherence
in the early universe

Decoherence in the early universe may not be as ubiquitous as common wisdom suggests!

In this Letter, we discover a mechanism of quantum recoherence for the adiabatic perturbations when they couple to an entropic sector.


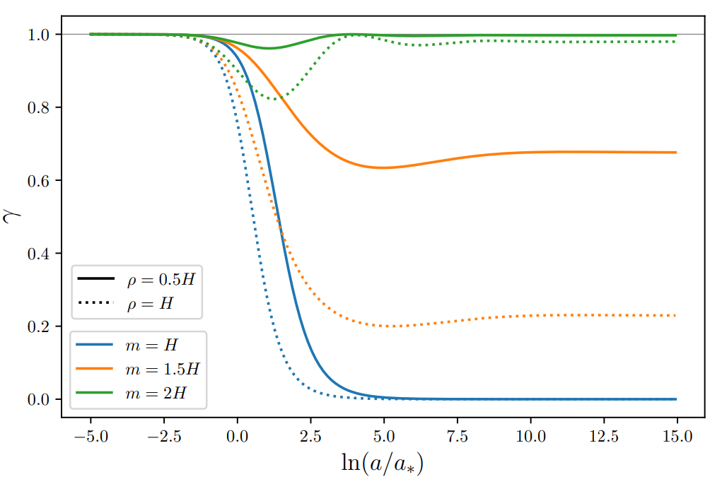
Despite being created through a fundamentally quantum-mechanical process, cosmological structures have not yet revealed any sign of genuine quantum correlations. Among the obstructions to the direct detection of quantum signatures in cosmology, quantum decoherence is arguably one of the most inevitable. If a system exhibits quantum correlations that we may reveal by performing a Bell test, interactions with a surrounding environment has tendency to wash away any hope of observing non-classical features. Information is delocalised into the environment which we cannot experimentally access and we lose chances to exhibit quantumness. We track this phenomenon thanks to an object called the state purity, plotted above as a function of the number of efolds for a given mode during inflation. If the purity is close to one, one may hope to exhibit non-classical correlations if there is any. On the contrary, when the purity is close to zero, the state is mixed and it can be reproduced by a classical statistical distribution.

In primordial cosmology, decoherence is often invoked to explain why the universe looks so classical. It has been studied for various cosmological environments, for instance made of the unobservable short wavelength modes . We typically expect the purity to fall to zero shortly after Hubble crossing. In our new paper, we investigated another type of environments made of a heavy scalar extension to single-field slow roll inflation. The Lagrangian of the perturbations captures the leading effect in the derivative expansion of generic multiple-field models. Contrary to common wisdom, we discover that, after a transient phase of decoherence, recoherence takes place and the final state exhibits large levels of self-coherence. Heavy entropic degrees of freedom do not lead to quantum decoherence of adiabatic fluctuations in the early universe, at least through their dominant interaction term. We finally observe that at one can either obtains recoherence (m > 3H/2), purity freezing (m ~ 3H/2) or decoherence (m < 3H/2), depending on the mass of the entropic degree of freedom.

To gain some insight, we also derive an effective single-field open description using a non-Markovian master equation. It contains a unitary part which reproduces the Wilsonian EFT results supplemented by a non-unitary contribution which captures the recoherence phenomenon. These results do not preclude other decoherence channels (such as higher-order coupling between adiabatic and entropic fluctuations, single-field gravitational decoherence, etc.) to effectively decohere cosmological perturbations, but it suggests that decoherence in the early universe may not be as ubiquitous as common wisdom suggests. Most importantly, it highlights how quantum dynamics in cosmology can depart from their flat spacetime analogues. This invites us to critically assess the applicability of Open Quantum System tools in cosmology.

More details at https://iopscience.iop.org/article/10.1209/0295-5075/acdd94.

Cosmological Master Equations

Master Equations allow us to model the effect of cosmological environments on observable degrees of freedom.

Master equations are commonly employed in cosmology to model the effect of additional degrees of freedom, treated as an environment, onto a given system. However, they rely on assumptions that are not necessarily satisfied in cosmology, where the environment may be out-of-equilibrium and the background is dynamical. For this reason, we applied the master-equation program to a model that is exactly solvable, and which consists of two linearly coupled scalar fields evolving on a cosmological background. The light field plays the role of the system and the heavy field is the environment. By comparing the exact solution to the output of the master equation, we critically assessed its performance.

To perform this work, we had to review the approximations schemes on which relies the master equation program. The most comprehensive approach starts with the rewriting of the exact dynamics focusing on the system degrees of freedom known under the name of Nakajima-Zwanzig (NZ) master equation. One can then perform a systematic expansion in the smallness of the system-environment coupling known under the name of Born approximation. It leads to a local in time non-Markovian master equation, the Time-ConvolutionLess (TCL) master equation, which so far does not rely on any assumption on the nature of the environment itself. Finally, when the environment is made of a large number of interacting degrees of freedom such that it forms a thermal bath, one can proceed one step further and implement the Markov approximation. Indeed, correlations are short lived in a thermal bath so that the environment is not able to keep track of the past interactions with the system. In this case, the system follows a semi-group evolution modelled by a Gorini-Kossakowski-Sudarshan-Lindblad (GKSL) master equation. The chart below provides a summary of the various layers of approximation that lead us from exact (left) to Markovian (right) master equations.


In the exactly solvable model we studied, the environment does not reach thermal equilibrium nor the Markovian limit. Hence, we worked within the non-Markovian framework of the TCL master equations. The environment affect the system in three ways: a unitary Lamb-shift term (renormalisation of the bare Hamiltonian), a damping term (energy dissipation into the environment) and a diffusive term (driving the quantum decoherence process). If we solve the master equation perturbatively, we just recover the standard result of cosmological perturbation theory, that is the so called in-in results. There is a way to perform a meaningful resummation only at the expense of removing by hands a set of terms dubbed as "spurious", which do not exist in the perturbative limit of the theory, and which explicitly depend on the initial conditions. When those terms are removed, the master equation performs impressively well to reproduce the power spectra and the amount of the decoherence of the light field, even in the strongly decohered regime. We conclude that master equations are able to perform late-time resummation, even though the system is far from the Markovian limit, provided spurious contributions are correctly identified and removed.

More details at https://link.springer.com/article/10.1140/epjc/s10052-022-11047-9.

Decoherence
in expanding and contracting universes

Background evolution plays a crucial role in the quantum properties of cosmological inhomogeneities.

In our first collaboration with C. de Rham and G. Kaplanek, we study quantum decoherence during inflation and alternatives. We consider a class of two-field models leading to a nearly scale-invariant power spectrum for curvature perturbations compatible with current CMB and LSS constraints which interpolates between expanding (inflation) and contracting (ekpyrosis) scenarios. We want to understand if the presence of an isocurvature mode leads to quantum decoherence of the curvature perturbations.

We find that ekpyrotic universes lead to complete decoherence of the curvature perturbations before the bounce (left panel). This is in stark contrast to the inflationary case, where recoherence has been previously observed (see above) for heavy isocurvature mode (right panel).


To assess decoherence, we study the purity perturbatively and observe that late-time breakdown of perturbation theory often occurs. Instead, we establish a simple yet powerful late-time purity resummation which captures the exact evolution to a remarkable level, while maintaining analytical control.


Our late-time scaling for the purity is summarized in this Table. Our study reveals how cosmological background plays a crucial role in the decoupling of the heavy fields during inflation and alternatives. More generally, it motivates the construction of Open EFTs which incorporate non-unitary effects in cosmology.

More details at https://arxiv.org/abs/2401.02832.

Four-mode squeezed states

Four-mode squeezed states describe two linearly interacting scalar fields in a homogeneous and isotropic universe.

Homogeneity has tremendous consequences in cosmology, one of which is the fact that at linear order in perturbation theory, excitations can only be created with opposite wavevectors. At the quantum level, it generates a huge amount of entanglement between sectors of opposite momenta known under the name of pair creation process or cosmological Schwinger effect. Indeed, in single-field inflation, cosmological perturbations are placed in a so-called two-mode squeezed state. from which cosmological structures later form. This state exhibit large non-classical features which rise the hope to observationally prove the quantum origin of cosmic structures. Yet, it remains of clarify the amount of entanglement accessible in real space and if genuine quantum signatures are able to stay immune to environmental effects such as quantum decoherence.

For these reasons, we investigated quantum aspects of two-field cosmology. The generalization of the squeezing formalism to two-field cosmology naturally leads to the concept of four-mode squeezed states. These quantum states can be understood as two single fields exchanging quanta. If the pair creation process dominates over the exchange of quanta, large intra-sector entanglement can be reached. This study allows us to investigate this process quantitatively, connecting it to the microphysical properties of the fields (masses, coupling).

When one of the two fields is unobserved, environmental effects affect the single-field dynamics which departs from a two-mode squeezed state. We observed that there is always a range of interaction coupling for which decoherence occurs without substantially affecting the observables of the system. This study may help us to better understand situations of cosmological interest such as adiabatic and isocurvature perturbations in multifield inflation.

More details at https://link.springer.com/article/10.1140/epjc/s10052-021-09922-y.

Effective Field Theory
of the Large Scale Structures

We inferred all the parameters of LambdaCDM cosmology with massive neutrinos from the BOSS DR12 data using EFT techniques.

Thanks to the many efforts made in understanding the dark sector, an unprecedented volume of data will be collected by the next generation of Large Scale Structures (LSS) surveys such as EUCLID and LSST. Using this information, LSS could potentially beat the Cosmic Microwave Background (CMB) constraints on primordial parameters. Yet, this goal is only reachable if a theory is able to accurately describe the dynamics at small scale, where non-linearities become large.

At short distances, the dark matter dynamics is extremely complicated, dominated by galaxy formation, collisions and even stellar processes. Consequently, modes are coupled at the non-linear level and short-distance physics can backreact on the long-wavelength fluctuations by sequences of uncontrolled non-linear mechanisms. Theoretically, this uncontrolled short-distance feedback appears in perturbation theory through the UV-divergencies of the loop integrals. The Effective Field Theory of the Large Scale Structures (EFTofLSS) introduces a set of Wilson coefficients that allow to systematically renormalize the theory order by order in perturbation theory, parametrizing the effect of the unknown short-distance physics in the most general way.

In practice, the EFTofLSS is a formalism which allow us to analytically compute the galaxy clustering power spectrum at arbitrary precision in the mildly non-linear regime. By applying this tool to the redshift-space one loop power spectrum, we analyzed the BOSS DR12 data and scanned over all the parameters of LambdaCDM cosmology with massive neutrinos. My own contribution consisted in extending the previously existing pipeline to incorporate three new cosmological parameters that are the abundance of baryons, the tilt of the primordial power spectrum and the sum of neutrino masses.

More details at https://iopscience.iop.org/article/10.1088/1475-7516/2020/06/001.